Technical Note No. 98/5 - Task 4/0 (Wave Statistics) Explained; Plus an Explanation of "Reality Checks"
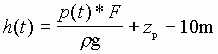
All wave statistics are calculated from burst time series of "hydrostatic water depth", h(t), which are related to raw pressure time series, p(t), by:

where g is acceleration due to gravity (9.81 m/s2), r is water density and F is a factor (6895 kg/[s2m]/psi) used to convert pressure in pounds per square inch to pressure in kg/(s2m). For this calculation, DOBIE assumes the water density to be 1025 kg/m3 (which is a typical seawater density). The subtraction of 10 m is a correction that removes a depth of water equal to a nominal atmospheric pressure. zp is elevation of DOBIE above the bed.
Mean Water Depth
Mean (i.e. burst-averaged) water depth
is calculated by DOBIE directly from h(t). The mean water depth calculated in this way is true water depth because the act of averaging the pressure removes the fluctuating pressure component due to the waves (see Technical Notes 98/3 and 98/4). You can use the PEDP to recompute water depth and the consequent changes in wave statistics using a different value for the water density and/or atmospheric pressure and/or sensor elevation.
Standard Deviation
The standard deviation hSD is calculated from h(t) as:

where N is the sensor noise level (units of metres). See Technical Note 98/2 for how to check the sensor noise level.
Mean Spectral Period
The mean spectral period is calculated by DOBIE as:

where mn is the nth moment of the spectrum of h(t):

f is frequency (1/period), T1is the minimum wave period specifed during pre-deployment instrument setup and T2 is the maximum period. Changing the choices for water density, atmospheric pressure, sensor elevation and sensor noise in the PEDP has no effect on mean spectral period. If the mean spectral period does not fall in the range defined by the user (maximum allowable wave period to minimum allowable wave period) then the quality check fails and the error flag is set to 6. DOBIE uses this check to help it distinguish between sensor noise and "real" signal. Use the PEDP to redefine the period range and bypass this quality check if desired.
Spectral Width
The dimensionless width is calculated by DOBIE as:



where and . Changing the choices for water density, atmospheric pressure, sensor elevation and sensor noise in the PEDP has no effect on spectral width. The spectral width signifies "sea state": 0.1 corresponds to clean swell, and >0.4 corresponds to choppy, confused sea.
Significant Wave Height
The significant wave height is calculated by DOBIE as:

where
is depth of DOBIE below mean water level and
is wavenumber corresponding to the mean spectral period, which is calculated using the linear-wave dispersion relationship. The significant wave height is the average height of the highest one-third waves, which has been shown to be equal to what the casual observer would call "wave height". The significant wave height is commonly used to characterise wave height in engineering applications. In order to estimate Hs the raw pressure signal must be amplified to correct for attenuation of pressure fluctuations with depth. The correction used above is robust, but can still cause problems when there simply is not enough information in the raw pressure data to work with in the first place. See below for the use of "reality checks" to detect such problems, and see Technical Note 98/1 for a full discussion of the problem. Changing the choice for noise level in the PEDP will change the significant wave height.
Significant Orbital Speed at the Bed
The significant orbital speed at the bed is:

The significant orbital speed is the maximum (i.e., maximum in the wave cycle) orbital speed at the bed corresponding to the mean spectral period and the significant wave height. Note that even if DOBIE is unable to estimate significant wave height, this parameter is still valid. This is because even though significant orbital speed is defined in terms of significant wave height, it is calculated directly from the raw pressure data. If DOBIE is deployed on the bed then Us will be very accurate, but even if DOBIE is deployed above the bed Us should still be reasonable because in that case the pressure signal is attenuated to estimate Us, not amplified as it is in the estimation of Hs. See Technical Note 98/1 for a full discussion. Changing the choice for noise level in the PEDP will change the significant orbital speed.
Penetration
The penetration is calculated by DOBIE as:

Penetration is an indicator of how much the pressure signal has been attenuated between the surface and the level of the DOBIE. For instance, if the penetration is 0.15, then only 15% of the surface pressure-fluctuation signal has penetrated to the level of the DOBIE. In effect, the pressure signal is multiplied by the reciprocal of the penetration to "transform the pressure data back up to surface". If penetration is very small (say, less than 0.05) then chances are most of the signal is really just sensor noise. When the noise is multiplied by 1/0.05 then huge (and erroneous!) wave heights result, which is why DOBIE applies "reality checks" to the wave statistics. If the reality checks are not failed but the penetration is still very low, then use the wave statistics only with caution.
Reality Check #1
The maximum wave steepness is set at:

This is the first of the "real-world" checks on the estimated wave height. If the wave steepness exceeds the theoretical maximum wave steepness then the wave is deemed by DOBIE to be physically unrealistic and the error flag is set 13. Use the PEDP to bypass this reality check if desired.
Reality Check #2
The maximum ratio of wave height to water depth is:

This is the second "real-world" check on the estimated wave height. If the wave height is larger than the water depth theoretically allows, then the wave is deemed by DOBIE to be physically unrealistic and the error flag is set to 14. This check is rather conservative: values of the wave height to water depth ratio at the breakpoint as high as 2.5 have been observed. Use the PEDP to bypass this reality check if desired.
MOG June, 1998